求
的值是( )。




若
,则
( )。

两个n维向量
与
不能进行的运算是( )。












行阵列
的值是( )。
点
关于坐标原点的对称点是( )。
在梯形OABC中,
且
,M、N分别是BC与OA的中点,
,
,则
等于( )。




天干地支是中国传统纪年的一种方式,俗称六十一甲子(意为60年一个循环)蕴含的数学概念是( )。
义务教育阶段数学命题的主要类型包括( )。
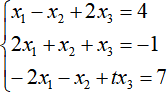
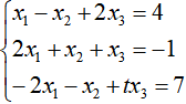
已知方程组
(1)当t=5时,求所对应的方程组的解。
(2)若方程组有唯一解,求t的取值范围。
求过点
且与直线
:
垂直的平面方程。
证明方程
,在
内至少有两个实根。
请回答义务教育数学课程中“数感”的含义,并举例加以解释。
简述在中学数学教学中确定教学目标的主要依据。
袋子中有5张卡片,分别写有数字1-5,从袋中随机抽取一张卡片,记卡片上的数字为B。
放回袋中,再随机抽取一张卡片,记卡片上的数字为C。
(1)求
有相等实根的概率。(3分)
(2)求
有实根的概率。(4分)
(3)在
有相等实根的条件下,求出根的条件概率分布。(3分)
阐述中学数学课程中统计与概率的联系,以及二者在研究对象、总体分布、结果评判三方面的区别。
案例:学生学习了“一次函数”后,李老师布置了一个家庭作业:提出一个关于“一次函数”的实际问题并加以解决,下面是小颖完成的作业。
爸爸准备给我买一双新鞋,要求我运用所学知识测算出穿多少“码”的鞋,我通过测量,得到爸爸、妈妈和我的鞋长分别为26cm、22.5cm和21.5cm,其中爸爸、妈妈鞋上的标号分别为42码、35码,由于同一事物的不同度量单位之间具有函数关系,我猜想鞋长的码数与厘米数之间满足一次函数的关系,由此就可以算出我的鞋长对应的码数。
对这个问题我的解答如下:
设鞋长为
cm,对应的是
码,则
与
的关系为:
(
)
将爸爸、妈妈鞋长的厘米数和对应的码数两组数值分别代入上式,
,
,解这个方程组得
,
,所以
与
的关系为
。
将
代入上式,得
,所以让爸爸给我买一双33码的新鞋。
问题:
(1)请分析李老师布置此作业的意图。(8分)
(2)请指出小颖作业的优点以及可以进一步完善之处。(12分)
下面是某教材“平行四边形”一章中“菱形”一节的主要内容。我们观察平行四边形的一组邻边,如图18.2-6,当这组邻边也相等时,这时的平行四边形也是一个特殊的平行四边形,有一组邻边相等的平行四边形叫做菱形。
菱形也是常见的图形,一些门窗的窗格、美丽的中国结、伸缩的衣帽架(图18.2-7)都有菱形的形象。你还能举出一些例子吗?
对于菱形,我们仍然从它的边、角和对角线等方面进行研究,可以发现并证明(请你自己完成),菱形还有以下性质:
性质①:菱形的四条边都相等;
性质②:菱形的两条对角线相互垂直,并且每一条对角线平分一组角。
请根据上述材料内容,完成下列任务:
(1)用结构图表示平行四边形、菱形、矩形、正方形之间的关系。(8分)
(2)写出“菱形”这节课的教学目标和教学重点。(10分)
(3)设计3个引导性问题,帮助学生探索菱形的性质(上述材料中画虚线的部分),并写出相应的设计意图。(12分)
