中国共产党登上中国历史舞台后,经过艰辛探索和实践,成功在中华大地上制定和实施了具有鲜明社会主义性质的宪法、真正意义上的人民宪法,在我国宪法发展史乃至世界宪法制度史上都具有开创性意义,为人类法治文明进步贡献了中国智慧、中国方案。下列有关我国宪法的表述正确的有几项?
①我国宪法确认了中国共产党的领导地位,这是我国宪法最显著的特征
②宪法是治国安邦的总章程,是中国共产党治国理政的根本法律依据
③要全面发挥宪法在立法中的核心地位功能,每一个立法环节都把好宪法关
④必须坚持宪法监督制度化法规化,宪法的生命在于监督,宪法的权威也在于监督
习近平总书记指出,农业强国是社会主义现代化强国的根基,满足人民美好生活需要、实现高质量发展、夯实国家安全基础,都离不开农业发展。下列关于建设农业强国的表述正确的是:
①农业科技创新要以农业关键核心技术攻关为引领,以促进大规模经营为导向
②要坚持把增加农民收入作为“三农”工作的中心任务
③要一体推进农业现代化和农村现代化,实现乡村由表及里、形神兼备的全面提升
④扩大耕地面积是建设农业强国的首要任务
习近平总书记指出,我们要坚守人民至上理念,突出现代化方向的人民性。关于现代化方向的人民性,下列表述正确的有几项?
①人民是历史的创造者,是推进现代化最坚实的根基、最深厚的力量
②现代化道路最终能否走得通、行得稳,关键要看是否坚持以人民为中心
③现代化不仅要看纸面上的指标数据,更要看人民的幸福安康
④政党要锚定人民对美好生活的向往,让现代化更好回应人民各方面诉求和多层次需要
习近平总书记强调,实现党在新时代新征程的使命任务,党的建设和组织工作要有新担当新作为。关于深入推进新时代党的建设新的伟大工程,下列表述正确的有几项?
①以坚持和加强党中央集中统一领导为最高原则
②以忠诚为党护党、全力兴党强党为根本使命
③以解决大党独有难题、健全全面从严治党体系为重大任务
④以加强党的组织体系建设为主线
⑤以党的制度建设为统领,以坚定理想信念宗旨为根基
中华优秀传统文化有很多重要元素,共同塑造出中华文明的突出特性,其中之一就是具有突出的创新性。对于中华文明具有突出的创新性,下列理解正确的是:
①从根本上决定了中华文化对世界文明兼收并蓄的开放胸怀
②从根本上决定了中华民族守正不守旧、尊古不复古的进取精神
③从根本上决定了中华民族不惧新挑战、勇于接受新事物的无畏品格
④从根本上决定了中华民族交往交流交融的历史取向
在2023年7月召开的全国生态环境保护大会上,习近平总书记全面总结我国生态文明建设取得的举世瞩目的巨大成就,精辟概括了“四个重大转变”,这四个重大转变是:
①实现由重点整治到系统治理的重大转变
②实现由被动应对到主动作为的重大转变
③实现由全球环境治理参与者到引领者的重大转变
④实现由实践探索到科学理论指导的重大转变
⑤实现由多重压力叠加到单一结构性压力的重大转变
党的二十大报告指出,依托我国超大规模市场优势,以国内大循环吸引全球资源要素,增强国内国际两个市场两种资源联动效应,提升贸易投资合作质量和水平。下列关于提升贸易投资合作质量和水平的措施,表述准确的是:
①推动货物贸易优化升级,创新服务贸易发展机制,发展数字贸易,加快建设贸易强国
②扩大外资准入负面清单,营造市场化、法治化、国际化一流营商环境
③优化区域开放布局,巩固中西部和东北地区开放先导地位,提高东部地区开放水平
④实施自由贸易试验区提升战略,扩大面向全球的高标准自由贸易区网络
为深入学习贯彻习近平新时代中国特色社会主义思想,全面贯彻落实党的二十大精神,党中央决定,在全党大兴调查研究,作为在全党开展的主题教育的重要内容。下列与调查研究有关的说法不准确的是:
2022年11月28日,中共中央办公厅、国务院办公厅发布《乡村振兴责任制实施办法》。下列与乡村振兴责任制有关的说法不准确的是:
习近平总书记强调,要把黑土地保护作为一件大事来抓,把黑土地用好养好。《中华人民共和国黑土地保护法》自 2022 年8月1日起施行,下列表述不符合该法规定的是:
下列做法符合《中华人民共和国行政处罚法》规定的是:
下列哪种情形,我国刑法不具有管辖权?
诉讼时效是指民事权利受到侵害的权利人在法定的时效期间内不行使权利,当时效期间届满时,人民法院对权利人的权利不再进行保护的制度。
下列情形不适用诉讼时效的是:
①甲要求邻居拆除妨碍通行的围墙
②乙要求物业修复可能导致儿童坠落的下水道
③丙要求长期占用其名下房屋的人搬离
④丁要求某公司支付其专利使用费
老张常居国外,其儿子小张常住老张名下房子内。小张在外欠债较多,伪造手续后将老张名下房屋卖给了不知情的小王,小王支付对价并办理了产权变更手续。下列有关说法正确的是:
下列不能被授予专利权的是:
习近平总书记在给山东省地矿局第六地质大队全体地质工作者的回信中强调:“矿产资源是经济社会发展的重要物质基础,矿产资源勘查开发事关国计民生和国家安全。”下列与我国矿产资源有关的说法错误的是:
某展览馆举办的“奋进新时代”主题成就展设置了一些地方展区。下列场景最可能出现的是:
下列与生活中的化学有关的说法错误的是:
下列与家庭用电有关的说法错误的是:
关于肥料,下列说法错误的是:
推进公交专用车道的开放共享,不等于废除公交专用通道,更不等于在城市交通治理中不再坚持“公交先行”的理念。理想状况下的公交专用通道共享,应该是在不影响公交通行效率的前提下,方便社会车辆的通行,从而在整体上提升道路交通的通行效率,而并非 。
填入画横线部分最恰当的一项是:
所谓环境影响评价,是指对规划和建设项目实施后可能造成的环境影响进行分析、预测和评估,提出预防或减轻不良环境影响的对策和措施,进行跟踪监测的方法与制度。可以说,环境影响评价是控制环境风险的“ ”,也是在发展中守住绿水青山的第一道防线,对协同推进经济高质量发展和生态环境高水平保护发挥着重要作用。
填入画横线部分最恰当的一项是:
世界航天大国都在积极开展空间碎片清除技术研究,提出了各自的清除方案。总的来看有两大类:一类是接触式,如机械臂抓捕、安装离轨装置等;第二类是非接触式,如用激光或离子束等进行推移。两类清除方式 ,都是要让碎片离开当前轨道,进入大气层烧毁。
填入画横线部分最恰当的一项是:
全面从严治党和鼓励担当作为是内在统一的,不是彼此对立的。严并不是要把大家管死,使人瞻前顾后、畏首畏尾,搞成暮气沉沉、 的一潭死水,而是要通过明方向、 、正风气、强免疫,形成风清气正的党内政治生态,营造有利于干事创业的良好环境,进一步调动全党的积极性、主动性、创造性。
依次填入画横线部分最恰当的一项是:
公正司法是维护社会公平正义的最后一道防线。在社会关系调节和纠纷解决中,司法具有 作用。党的十八大以来,我们着力深化司法体制改革,加快建设公正高效权威的社会主义司法制度。让人民群众与司法“零距离”,使公平正义更加可见、可感、可 。
依次填入画横线部分最恰当的一项是:
北极地区常年漂浮着体积巨大、厚薄不一的海冰。面对这些海冰,绝大部分战舰只能 ,唯有破冰船和冰面下的潜艇敢于一试身手。当前,世界上力量最强的破冰船,排水量可达3.3万吨,能够 地破开近3米厚的坚冰,堪称北极航线上的开路先锋。
依次填入画横线部分最恰当的一项是:
从长远看,保护个人信息,并不是把信息数据与互联网经济 开来,而是应当探讨如何在必要、合理、合规的基础上,实现信息保护与利用的共赢。在大数据、信息化时代,如何在海量个人信息中 敏感信息、利用好其他可用信息,对发展信息产业、平衡数据应用与用户权益之间的关系,都具有重要意义。
依次填入画横线部分最恰当的一项是:
“木刻分水”是哈尼族在长期梯田农耕活动中形成的 分配水源的制度,具体做法是:根据沟渠所能灌溉的梯田面积,经过集体协商,确定每份梯田应得水量,刻在横木上,作为分配水源的尺子。哈尼人用其量水、分水,取之有度,用之有节,既体现出对大自然的崇敬,也实现了对水资源的 。
依次填入画横线部分最恰当的一项是:
“潜”是“显”的基础,“显”是“潜”的结果。对于事关长远、事关基础的任务,“一口吃不成个胖子”,就要扎扎实实、稳步有序推进。这些工作并不 ,政绩也并非 ,但有助于各项事业全面发展、长足进步,是真正对党、对人民、对历史负责的体现。
依次填入画横线部分最恰当的一项是:
史书是古人写就的,有些内容可能会因有人随意取舍、记忆有误或者心存故意而 历史真实。运用基因等高科技手段的考古研究是科学,它以客观而非主观的科学事实和科学数据得出结论。科学可以检验,可以用重复操作检验此前的研究成果是否准确、正确,从而 了人为造假的可能。
依次填入画横线部分最恰当的一项是:
推进乡村振兴必须规避两种倾向:一是“只见树木、不见森林”,打造“样板村”,并将资源或政策向其倾斜;二是“ 、平均用力”,即将单一发展方式套用到所有农村,或将资源进行简单分解。只有尊重农村发展实际和市场规律, 实施振兴政策,才能使广大农民得到实惠。
依次填入画横线部分最恰当的一项是:
马克思主义理论必须随着实践发展而发展,必须中国化才能 、本土化才能深入人心。马克思主义中国化的进程是中国共产党人解放思想、统一思想的过程。解放思想不是脱离国情的 ,也不是闭门造车的主观想象,而是要求我们一切从实际出发。
依次填入画横线部分最恰当的一项是:
区块链技术使得消费者可以放心“买全球”。当货物从海外运往中国时,物流数据已经开始在区块链上运行。每个进口商品都获得 的“身份证”,手机扫一扫,就能看到生产、物流全环节,所有信息不可 ,海淘又多了一分保障。
依次填入画横线部分最恰当的一项是:
许多老大难问题之所以长期无解,重要原因是调查研究流于形式,导致情况吃得不透、病根找得不准。有的是“盲人摸象”式调研,眼中只有一个个孤立的“盆景”,得出的结论往往是 ;有的是“刻舟求剑”式调研,对新情况多凭主观判断下结论,导致出台的政策 不强。
依次填入画横线部分最恰当的一项是:
守正是创新的前提,创新是守正的路径。守正不是 、循规蹈矩,而是守住本和源、根和魂;创新也不是凭空幻想、 ,而是在把握事物发展规律的基础上充分发挥主观能动性。只有守正,才能恪守正道、 ;只有创新,才能与时俱进、推陈出新。
依次填入画横线部分最恰当的一项是:
读书学习的过程,实际上是一个不断思考认知的过程。思考是阅读的 ,是认知的必然,是把书读活的关键。如果只是机械地阅读、被动地接受、 地浏览,没有思考, ,再好的知识也难以吸收和消化。
依次填入画横线部分最恰当的一项是:
量子理论描述了微观粒子的诸多反直觉行为,广义相对论描述了引力的本质,并做出许多 的预言,比如黑洞、引力波、引力透镜等。这两种理论在各自领域都运作得非常好,却无法以一种 的方式结合起来。因此,寻找能将这两种理论统一起来的量子引力理论,是物理学家最大的 之一。
依次填入画横线部分最恰当的一项是:
未成年人网络游戏防沉迷机制是否有效,不只取决于平台管控是否严格,也取决于是否存在其他 。对此,为绕开防沉迷机制而设计出来的种种方法,都应予以 清理和整治。对于落实未成年人保护责任,运营商唯有诚心正意而非 ,才能真正完善未成年人网络游戏防沉迷机制。
依次填入画横线部分最恰当的一项是:
创造和享受艺术是区别人类与其他生物的重要标志之一。基于当下的限定条件,通过算法进行模仿是AI绘画的 。这些完成品的构图、配色和细节可能极其 ,在审美上与人类的经验高度一致。但从整个创作过程来看,并不能体现人类在艺术创作里的情感追求,与传统艺术创作理念也 。
依次填入画横线部分最恰当的一项是:
基层工作 ,调研起来难免千头万绪。调查研究要从“小切口”入题,从民生实事选题定向。同时,调研要坚持“一根竿子插到底”, 直面“真问题”,克服认知盲区和思维局限,秉持更加开阔的视野,方能 基层“最后一公里”的症结。
依次填入画横线部分最恰当的一项是:
良法是善治的前提。“法非从天下,非从地出,发于人间,合乎人心而已。” ,发挥好人大及其常委会在立法工作中的主导作用,坚持尊重和体现客观规律,坚持为了人民、依靠人民,坚持严格依照法定权限和法定程序,深入推进科学立法、民主立法、依法立法。
填入画横线部分最恰当的一项是:
,让绿水青山充分发挥经济社会效益,关键是要树立正确的发展思路,因地制宜选择好发展产业。在内蒙古大兴安岭的北岸林场,林业工人在护林的同时,围绕“林”字做活“绿文章”,发展森林旅游,实现了“不砍树照样能致富”;在陕西延安,依托自然生态优势,“小苹果”形成大产业,助村民挑起“金扁担”······思路一变天地宽。生态保护和经济发展不是矛盾对立关系,积极探索绿水青山转化为金山银山的新路径,利用自然优势发展特色产业,因地制宜壮大“美丽经济”,就能创造更多“点绿成金”的新奇迹。
填入画横线部分最恰当的一项是:
非洲企鹅成年后身高只有60至70厘米,不过嗓门可不小,时常发出浑厚而响亮的叫声,被戏称为“公驴企鹅”。非洲企鹅主要栖息于南非好望角附近的西蒙镇,这里属于地中海气候,全年温和舒适,同时本格拉寒流带来了南极的冰冷海水,上升补偿流还将海底营养物质带至海面,让这里形成了有利于渔业的自然环境,沙丁鱼、凤尾鱼等浅水鱼类为非洲企鹅提供了充足的营养。另外,非洲企鹅好像涂了粉红色的“眼影”,那是用来调节体温的腺体。当体温上升时,有更多血液流经眼睛上方的腺体,利用空气流动帮助身体降温,“眼影”的颜色也会更加鲜艳。
根据这段文字可知,非洲企鹅:
我国经济已由高速增长阶段转向高质量发展阶段,这是一个重要转变。一个时期以来,传统投资驱动的经济增长模式已经难以为继,同时经济全球化遭遇逆流,大进大出的环境条件已经变化,不可能单纯依靠出口实现经济发展质的提升。因此,必须根据我国经济发展实际情况,建立起扩大内需的有效制度,特别是要更好更充分释放消费潜力。消费作用的不断强化,能有效降低我们对出口和投资的依赖,有利于经济长远发展,促进经济内外平衡发展,实现提质增效。
这段文字意在说明:
最高人民法院对近年来生效裁判进行系统化、常态化梳理,深入总结提炼在审理过程中形成的价值理念、司法经验和裁判规则,推动形成体系完备、门类齐全、科学权威、便捷适用的裁判要旨提炼编撰体系。最高人民法院还出台了法律适用分歧解决机制的实施办法和统一法律适用工作实施办法,有效解决生效裁判之间存在的法律适用分歧问题,创新“点对点”法律适用分歧解决机制,推动法律适用分歧解决机制运行更加精准有效、灵活快捷,切实防止司法正义因地域、城乡、行业差异而打折扣。
最适合做这段文字标题的是:
公共法律服务是全面依法治国的基础性、服务性和保障性工作,承担着为全民提供法律知识普及以及教育和法治文化活动等职能。随着经济社会发展,人们法律意识增强,服务需求增长,但公共法律服务体系建设中发展不平衡、设施不完善的短板日益凸显,一些地区尚存在法律服务资源紧张、人才经费保障不足、公众知晓率低等问题。因此,建设法治社会,亟待加快建设覆盖城乡、便捷高效、均等普惠的现代公共法律服务体系,提升法律服务的社会公信力,让人民群众共享公共法律服务成果。
这段文字意在强调:
过去“时事新闻”不受著作权法的保护,何谓“时事新闻”一直界定困难且存在争议。2020年《关于修改<中华人民共和国著作权法>的决定》将不受法律保护的时事新闻压缩为“单纯事实消息”,这意味着除此以外的绝大多数新闻作品都有可能成为著作权法意义上的“作品”,此举不但厘清了新闻报道保护与不保护的界限,还遏制了洗稿、随意转载等侵权现象,加大了对新闻作品的保护力度。不过在全媒体时代新闻作品版权保护仍面临着诸多障碍,只有在有效版权保护的前提下做好内容传播,才能推动新闻出版更高质量发展。
这段文字接下来最可能讲的是:
穿山甲的外壳由被称作角蛋白的有机骨骼组成,能为躯体提供强有力的保护作用,却不会妨碍行动或损伤自身。穿山甲能把角质鳞片组成重叠结构,灵活无碍地移动。受其启发,工程师设计出一个拥有重叠鳞片设计的微型机器人,用于在人体内进行安全和微创的医学治疗。它通过变形,可以到达人体内难以触及的胃或小肠等区域。在概念验证实验中,微型机器人能够加热到
,对人体组织进行医疗处理,包括在难以触及区域进行癌症热疗或止血。此外,机器人能够将负载物释放到组织,未来可用于递送药物。
关于微型机器人,下列说法与这段文字不相符的是:
胜诉权益不能及时有效兑现,是影响人民群众感受司法公正的最后一道藩篱。自动履行率越高,意味着越多的案件无需进行执行程序就可兑现裁判,既减少了衍生案件,也能防止社会关系进一步撕裂。这要求通过建立自动履行正向激励机制,把司法信用融入企业生产、群众生活,推动形成守法践诺的良好风尚;建立“谁办理、谁负责”的案件履行督促机制,让承办法官引导和督促当事人自动履行裁判义务。加强反向惩戒、强化执行刚性,对有能力而拒不执行判决裁定的人,用足用好失信惩戒机制,使其主动履行裁判义务,提升执行到位率。
这段文字主要介绍:
①当前,我国荒漠化、沙化土地治理呈现出“整体好转、改善加速”的良好态势,但沙化土地面积大、分布广、程度重、治理难的基本面尚未根本改变
②现实表明,我国荒漠化防治和防沙治沙工作形势依然严峻
③我国是世界上荒漠化最严重的国家之一,荒漠化土地主要分布在三北地区,而且荒漠化地区与经济欠发达区、少数民族聚居区等高度耦合
④荒漠化、风沙危害和水土流失导致的生态灾害,制约着三北地区经济社会发展,对中华民族的生存、发展构成挑战
⑤我们要充分认识防沙治沙工作的长期性、艰巨性、反复性和不确定性,进一步提高站位,增强使命感和紧迫感
⑥这两年,受气候变化异常影响,我国北方沙尘天气次数有所增加
将以上6个句子重新排列,语序正确的一项是:
①然而,人体是运动变化的系统,单一的、静止的监测数据不能完整地反映人体的健康状况
②无论是膳食配方、运动药方还是睡眠与心理处方,都是主动健康实践的重要组成部分
③当前,随着技术的进步,智能可穿戴设备能在生活和工作场景下,对人体的生物信号进行长时程的实时无创监测
④在这些实践中少不了技术的身影,智能手环、睡眠监测仪等智能产品,为实现主动健康提供了技术保障
⑤过去,健康监测仪器往往应用在医院场景中,通常要求人体处于稳定状态时才能进行测量
⑥可穿戴智能生物传感技术具有自适应、自诊断等功能,通过监测人的心率、血糖等多种指标,实现疾病预警目的
将以上6个句子重新排列,语序正确的一项是:
①据有关机构估算,每年损失浪费的食物超过22.7%,约9200亿斤,若能挽回一半的损失,就够1.9亿人吃一年
②食物节约减损既可有效减轻供给压力,也可减少资源使用,善莫大焉
③我国居民食用油和“红肉”人均消费量,分别超过膳食指南推荐标准约1倍和2倍
④当前,食物采收、储运、加工、销售、消费每个环节都有“跑冒滴漏”,情况还相当严重
⑤要树立节约减损就是增产的理念,推进全链条节约减损,健全常态化、长效化工作机制,每个环节都要有具体抓手,越是损失浪费严重的环节越要抓得实
⑥消费环节大有文章可做,不仅要制止“舌尖上的浪费”,深入开展“光盘行动”,还要提倡健康饮食
将以上6个句子重新排列,语序正确的一项是:
“ 。”人民代表大会制度之所以具有强大生命力和显著优越性,关键在于深深植根于人民之中。一切国家机关和国家工作人员必须牢固树立人民公仆意识,把人民放在心中最高位置,保持同人民的密切联系,倾听人民意见和建议,接受人民监督,努力为人民服务。要丰富人大代表联系人民群众的内容和形式,拓宽联系渠道,积极回应社会关切,更好接地气、察民情、聚民智、惠民生。各级人大常委会要加强代表工作能力建设,支持和保障代表更好依法履职,使发挥各级人大代表作用成为人民当家作主的重要体现。
填入画横线部分最恰当的一项是:
。我们党当初为什么要创办中央党校?就是为人民解放事业培养骨干力量。90年来,各级党校特别是中央党校与党的事业同频共振、按需施训,教育培训了一批又一批领导干部,肩负起为党育才的神圣职责,推动党的事业从胜利走向新的胜利。例如,党校创办初期,马克思共产主义学校一年多时间里共培训了 1000 多名干部;延安时期,中央党校常规班次培养各类骨干上万人,其中约 65%的七大代表有中央党校的学习工作经历。党的十八大以来,中央党校举办的主体班次共培训轮训干部8.8万人,其中省部级干部1.3万余人。
填入画横线部分最恰当的一项是:
从行政管理链条看,制度建设处于前端,行政复议处于末端。行政复议案件的产生,必然经过一般性行政管理规定、行政机关具体实施、产生具体行政行为、不服行政行为申请行政复议等环节。每个复议案件或多或少反映了行政管理中存在的问题。行政机关,特别是作为行政复议被申请人的行政机关,要善于“抓末端、治已病”。如果是个案具体实施问题,可以个案纠正;如果是制度性、普遍性问题,则要对制度进行查漏补缺;如果是制定制度时不曾预见的新问题,更要予以关注,适时进行规范,避免小问题变成大问题。
作者通过这段文字想说的是:
司法公正不仅体现在基于案件审理结果的实体性公正,更要求严格审理程序的程序性公正,后者是前者的必要前提和有力保证。对于老年人来说,生理机能衰退和理解表达能力下降,导致他们在出席庭审、举证表达等程序环节存在障碍,审判人员难以准确理解其诉讼请求,影响案件判决的公正性。建立适老型诉讼服务机制将有助于提升老年人诉讼参与质量,改善庭审沟通效率,还能引导老年人对审判权的运行形成正确认识,促进对审判执行流程的公开与监督,最终提升体现公平正义的审判质效。
这段文字接下来最可能说的是:
核桃油富含不饱和脂肪酸,但易氧化、存储时间短,限制了其应用。最近,研究团队以食用纳米纤维素作为唯一凝胶因子,以核桃油为载体,通过乳液模板法,成功构造出性能良好的核桃油凝胶,使核桃油变身“植物黄油”。在乳液阶段,食用纳米纤维素吸附并紧密包裹在核桃油油滴表面,形成不均匀的致密网格结构,降低液滴的聚集;冷冻干燥后,其结构产生形变,获得油脂结合能力强的核桃油凝胶。由于纳米纤维素可定向“裁剪”,因此可构造不同性质的多不饱和油凝胶,这为核桃油的多元化应用提供了新路径。
下列说法与这段文字相符的是:
在数字经济时代,因为用工关系的多样化、灵活化、去组织体化、去劳动关系化等特征,市场配置劳动力资源的一面更加凸显,就更需要回到市场经济的一般法律体系,从数字经济协同治理的角度考虑新就业形态劳动者权益保护的问题。劳动法的制度和思路处于兜底保障的位置,是一种末端解决问题的思路;其他市场经济的法律处于优化产业和市场秩序的位置,是一种前端解决问题的思路。源头治理与兜底保障相结合,才能更好实现产业有序发展与新就业形态劳动者权益维护的平衡。
这段文字意在说明:
个人信息保护案件往往涉及非法收集、获取、提供、出售、购买、使用个人信息等多个环节,责任主体除了已被追究刑事责任的犯罪者外,还可能包括下游的违法处理信息者。在民事公益诉讼案件办理中,是否可以连带追究下游违法者的赔偿责任,司法实践中存在争议。根据民法典,认定连带责任必须遵循法定或约定原则,在此原则指导下,个人信息保护法规定了共同处理者的连带责任。因此,当不同侵权主体主观具有共同过错,客观上实施了共同侵害个人信息权益的行为时,可以依法追究各侵权人的连带责任。
关于个人信息保护案件,作者认为:
现实生活中的案件事实总是相当复杂,很多时候国家机关一时难以查明案件真相。即使案件事实清楚,如果其性质处于一般违法行为与犯罪行为的临界线上,在法律适用层面仍是刑法理论与司法实践的难点。行政执法人员与刑事追诉人员对相关法律的理解可能也会存在一定差异。在这些因素的影响下,“行刑衔接”不再是单纯的由行政执法到刑事司法的衔接,也可能是由行到刑再到行、由刑到行再到刑的衔接。正因为如此,有的法律明文规定了多环节的移送。
这段文字意在:
某地为工业企业提供相当于营业额2%的税收优惠,当地的A工厂原本预计当年会产生相当于营业额0.8%的亏损,在享受优惠政策后预计可以盈利300万元。问A工厂当年的预计营业额为多少亿元?
甲、乙、丙三人的年龄之比为3:4:5。8年之后,甲、乙的年龄之和是丙的1.5倍,且这一年甲、乙、丙、丁四人的平均年龄为43岁。问再过15年,甲、乙、丙、丁中有几人将超过60岁?
某企业招聘笔试参考人员均来自甲、乙、丙三所高校。笔试结束后,在进入面试的100人中,来自甲高校人员占比从笔试时的50%下降至当前的40%,乙高校人员占比下降了15个百分点,丙高校的有50人。问笔试时来自甲、乙、丙三所高校的人员比例是多少?
甲,乙、丙三人未来3周均要去A、B、C三个地方调研,每人每个地方调研时长为1周,如每个人随机安排顺序,则每周三个人去的地方都不同的概率为:




甲、乙、丙三个研发团队共有研发人员300多人,其中甲的人数比乙多26%。现丙调3人去乙后,两个团队人数相同。问此时甲至少调多少人去丙后,才能保证丙的人数是甲的2倍以上?
甲、乙两个联络站相距10千米。一条道路与甲、乙联络站连线相平行,且与两联络站连线的垂直距离为12千米。现需紧邻该道路建一个工作站,问工作站距离甲、乙联络站距离之和最小为多少千米?
某高校外国语学院中,会俄语的学生都会英语,其中一半还会法语;会英语的学生中有一半会法语;这三种语言都会的学生有50人,只会其中两种语言的有100人,只会其中一种语言的有150人。问会法语的学生有多少人?
小张每周二、周五和周日固定参加骑行社团活动。某年9月和10月,小张分别参加了13次和14次活动。问当年他最后一次参加活动是在哪一天?
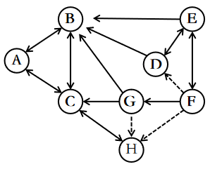
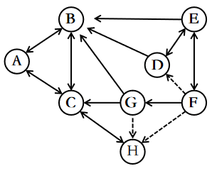
某小区内部的道路如下图所示,道路转弯处的
、
、
均为直角,
。已知AB、CD、EA的长度分别为40米、50米、60米,问整圈道路的总长度在以下哪个范围内?

某单位组织干部职工分5批进行业务培训,培训地点有甲、乙、丙三个地方,每个地方至少安排一批。受接待能力影响,第一、二批不去甲地,问有多少种安排方式?
从所给的四个选项中,选择最合适的一项填入问号处,使之呈现一定的规律性:

从所给的四个选项中,选择最合适的一项填入问号处,使之呈现一定的规律性:

从所给的四个选项中,选择最合适的一项填入问号处,使之呈现一定的规律性:

从所给的四个选项中,选择最合适的一项填入问号处,使之呈现一定的规律性:

左图为15个白色正方体和3个灰色正方体组合而成的多面体,其可以由①、②和③三个多面体组合而成,问哪项能填入问号处?

左图为8个白色正方体和4个黑色正方体粘接而成的长方体,问以下哪一个不可能是其外表面展开图?

上图为13个白色正方体和5个灰色正方体组合而成的多面体,现用经A、B、C三个顶点的平面对该多面体进行切割,正确的截面是:

把下面六个图形分为两类,使每一类图形都有各自的共同特征或规律,分类正确的一项是:

把下面的六个图形分为两类,使每一类图形都有各自的共同特征或规律,分类正确的一项是:

把下面的六个图形分为两类,使每一类图形都有各自的共同特征或规律,分类正确的一项是:

伪装型反侦查行为是指犯罪行为人通过采取相应措施来隐蔽自身、迷惑侦查机关侦查活动的行为,其主要表现为三类:①栽赃嫁祸,通过将赃物、违禁品暗置别人处等方式来误导侦查方向;②主动报案,通过实施“贼喊捉贼”式的行为来蒙蔽侦查机关;③制造伪证,通过假人证、不知情的人或一些特定物品,制造出虚假的不在场证明或者自己与案件无关的假象,以达到混淆视听、误导侦查视线的目的。
根据上述定义,下列没有体现上述几类伪装型反侦查行为的是:
动物的战斗行为在进化中演变出一种既能决定胜负又能减少伤亡的相对固定的方式,这种方式被称为仪式化战斗。
根据上述定义,下列不属于仪式化战斗的是:
品牌延伸是将著名或成名品牌使用到与原产品不同类型的产品上,是企业在推出新产品过程中经常采用的策略。如果品牌延伸到一个与原产品相对立或易引起消费者反感的产品上,就会对消费者造成心理冲突。消费者只会购买其一,或两者都不买,从而损害原有品牌的形象。
根据上述定义,下列情形属于品牌延伸导致消费者心理冲突的是:
某部落的计数法只有4个符号:
。每个数字至多有两位,数位从高到低的顺序为从右到左。其中右边数位从大到小依次为
;而左边数位从大到小依次为
。
根据上述定义,下列哪项中的数字最大?




人际关系图,是用一套特定的符号来表示团体内成员之间各种关系的图形。依据前期的调查,将团体成员的关系分为“吸引”“排斥”“无关”三类。图中圆圈内的字母是团体内每一成员的代号。实线与虚线表示相互关系,其中实线表示吸引关系,虚线表示排斥关系,箭头表示方向(例如:
表示A受B吸引,
表示A排斥B),其中被实线箭头指向最多的人,就是处于团体中心位置的人。
根据上述定义,对下图的判断正确的是:

慢病也称为慢性非传染性疾病,是指长期的、不能自愈的、也几乎不能被治愈的疾病。慢病自我管理是指慢病患者主动监测自己的病情,以积极态度及行动,改善健康和情绪,通过对疾病的认识,学习与疾病长期共存。
根据上述定义,下列属于慢病自我管理的是:
民俗是指一个民族或一个社会群体在长期的生产实践和社会生活中逐渐形成并世代相传、较为稳定的文化事项,可以简单概括为民间流行的风尚、习俗,具有传承性、广泛性、稳定性。
根据上述定义,下列活动属于民俗的是:
电力系统的电力设备根据其在运行中所起的作用,分为电力一次设备和电力二次设备。电力一次设备指的是直接参与生产、变换、传输、分配和消耗电能的设备;电力二次设备指的是为了保护并保证电力一次设备的正常运行,对其运行状态进行测量、监视、控制和调节等的设备。
根据上述定义,下列说法正确的是:
甲类对象如果全部属于乙类对象,就把表达甲类对象的概念称为种概念,表达乙类对象的概念称为属概念。属种定义是一种明确概念的定义方法,其定义方法是首先找出与被定义概念相邻近的上位属概念,然后找出被定义概念与该邻近属概念下其他种概念之间的差别,以此来定义该概念。
根据上述定义,下列属于属种定义的是:
中医七方指的是大方、小方、缓方、急方、奇方、偶方、复方七种方剂的总称。其中缓方是指药性缓和,治疗病势缓慢需长期服用的方剂;急方是指药性峻猛,治疗病势急重急于取效的方剂;奇方是指单数药物组成的方剂;偶方是指双数药物组成的方剂。
根据上述定义,下列既属于缓方又属于偶方的是:
质证:法庭
花生壳:核桃仁
诛禁不当:反受其央
花香四溢:分子运动
发酵:灌装:生产红酒
蚜虫:七星瓢虫:小麦
感想:主观性:体会
放养过密:饲喂不当:鱼病发生
嬗变 对于 ( ) 相当于 ( ) 对于 生肖
重型战机 对于 ( ) 相当于 ( ) 对于 分辨率
对体外环境的感知是人类生存、交流和进化的基本能力。人体的味觉系统是信息感知的重要组成部分。有学者认为,苦味的感知是人类长期进化的一种防御机制,这意味其担负着保护人体免于摄入有毒物质的预警任务。
以下哪项最可能是上述学者论述的前提?
在过去,药物的研发主要来自于陆地生物,这与陆地生物更被熟知且容易获得有关。近几十年来,越来越多的药物开始从海洋生物中产生,海洋生态环境极具复杂性,因而海洋生物相比于陆地生物有着更为广泛的多样性。有人据此认为,海洋生物产业潜力巨大,海洋生物更有可能是未来新型抗生素、抗癌药物的来源。
以下除哪项外,均能支持上述观点?
W国对咖啡领域的调查显示,过去W国咖啡领域的融资金额高达5亿元,该国许多知名企业跨界进入咖啡领域,本土咖啡品牌在快速崛起。然而经过去年一年的销售发现,W国线下咖啡门店的总数量虽然有所增加,但咖啡销量与往年相比并未明显增加,因此有人认为:咖啡在W国居民中不是很受欢迎。
以下哪项如果为真,最能削弱上述观点?
软件通常存在漏洞,攻击者为接近并操控目标主机,往往会主动寻找漏洞,攻击者会花费大量时间区分软件中“真正危险的漏洞”和“良性漏洞”,并在找到前者后实施攻击。因此有观点认为:如果添加大量良性漏洞欺骗攻击者,使其耗尽资源去寻找和测试那些毫无攻击用途的漏洞,将会减少对软件“真正危险的漏洞”的攻击,从而保证软件不被攻击者恶意控制。
以下哪项如果为真,最能削弱上述观点?
研究发现,一种被称为EPAS1的特殊基因能调节机体生理状态,使人类适应缺氧环境。考古研究表明这种特殊基因最早可追溯至16万年前已居住于青藏高原的古人类。由于16万年前全国同时生活着尼安德特人、丹尼索瓦人及古老的直立人,其中只有丹尼索瓦人拥有这一基因,考古学家推测丹尼索瓦人很有可能在16万年前居住于青藏高原。
以下除哪项外,均能支持考古学家的推测?
有甲、乙、丙、丁、戊、己6个城市,其中的两个城市在2021年结成一对友好城市,其余4个城市中的2个在2022年结成一对友好城市,剩余的2个城市在2023年也结成一对友好城市,已知:
(1)乙的结对城市不是丁
(2)甲的结对城市不是乙就是丙
(3)甲和乙均不是在2021年结对的
(4)丁和戊均不是在2023年结对的
下列哪项是可能的先后依次结对的城市名单?
如果己是2023年结对的,那么戊一定是和哪个城市结对的?
如果丁是2022年结对的,那么下列各项中,哪两个城市可能结对?
如果甲和丙结对,下列哪一项一定为真?
有几个城市可能是在2022年与其他城市结对的?
2022年,S省各级12315工作机构共接收诉求220.4万件,同比增长21.41%。其中,投诉55.6万件、举报26.3万件、咨询138.5万件,比上一年分别增加14.0万件、8.9万件、16.0万件。


将S省各级12315工作机构接收的投诉、举报和咨询三类诉求量按2022年同比增速从高到低排序,以下正确的是:
2022年,S省各级12315工作机构热线电话投诉接收件数占投诉总件数的比重比热线电话举报接收件数占举报总件数的比重:
2022年,S省各级12315工作机构接收诉求量最少的季度是:
以下折线图反映了2022年哪一时间段内S省各级12315工作机构的接收诉求量环比增量的变化趋势?

关于2022年S省各级12315工作机构接收诉求状况,不能从上述资料中推出的是:

2022年,中部六省中型灌区新增恢复灌溉面积是东北三省的:
2022年,中部六省中型灌区新增节水能力占全国中型灌区的:
2022年,中型灌区改善灌溉面积与新增恢复灌溉面积比值最大的中部省份是:
2022年全国粮食产量同比增加368万吨。如全国中型灌区新增粮食生产能力均得到充分利用,则中部六省中型灌区新增粮食生产能力对全国粮食增产的贡献占比为:
在资料所给中型灌区续建配套与节水改造项目成效的4个指标中,东北三省占全国比重超过10%的指标有几个?
截至2022年末,全国累计投运各类电化学储能电站(包括大、中、小型电站)472座,总能量14.05GWh。其中大型电站26座,总能量5.99GWh;中型电站275座,总能量7.23GWh。2022年新增投运电化学储能电站194座,总能量达7.86GWh。其中大型电站19座,总能量4.64GWh;中型电站114座,总能量2.92GWh。
2022年末累计投运的各类电化学储能电站中,锂离子电池电站435座,总能量占比达到89.2%(磷酸铁锂电池占88.7%,三元锂电池和钛酸锂电池分别占0.3%和0.2%),铅酸/铅碳电池总能量占比4.0%,液流电池总能量占比3.7%。在新增投运的电化学储能电站中,锂离子电池总能量占比达到86.5%,全部为磷酸铁锂电池。此外,铅酸/铅碳电池总能量占2.7%,液流电池总能量占5.6%。

截至2021年末全国累计投运的各类电化学储能电站总数中,小型电站数量占比约为:
2018-2022年,全国电化学储能电站年末总能量同比增长100%以上的年份有几个?
2022年新增投运的电化学储能电站中,平均每个大型电站的能量约是中型电站的多少倍?
在①磷酸铁锂电池、②三元锂电池、③铅酸/铅碳电池和④液流电池四类应用不同技术的电化学储能电站中,2022年末累计投运电站总能量占各类电化学储能电站总能量比重高于2021年末水平的是:
关于全国各类电化学储能电站状况,能够从上述资料中推出的是:
2023年3月,全国规模以上工业企业的工业机器人完成产量4.4万套,服务机器人完成产量70万套。2023年1~3月全国规模以上工业企业的工业机器人累计完成产量10.4万套,服务机器人累计完成产量145万套。
2023年3月,我国机器人设备出口金额0.7亿美元,较上年增长110.3%,进口金额2.4亿美元,较上年增长68.5%。2023年1~3月我国机器人设备累计出口金额1.9亿美元,较上年增长62.1%,累计进口金额6.9亿美元,较上年增长55.1%。
2022年12月,全国规模以上工业企业的工业机器人完成产量4万套,服务机器人完成产量49.1万套。2022年1~12月全国规模以上工业企业的工业机器人累计完成产量44.3万套,服务机器人累计完成产量645.8万套。
2022年12月,我国工业机器人设备出口金额0.5亿美元,进口金额1.8亿美元。2022年1~12月我国工业机器人设备累计出口金额6.1亿美元,累计进口金额20亿美元。
2023年1~2月,全国规模以上工业企业的服务机器人完成产量约是工业机器人完成产量的多少倍?
2023年一季度,我国机器人设备进出口贸易逆差比上年同期:
2022年12月,全国规模以上工业企业的①工业机器人完成产量和②服务机器人完成产量:
已知2022年1~11月我国高新技术产品进出口总额约为14544亿美元,则同期我国工业机器人设备累计进出口总额约占高新技术产品累计进出口总额的:
能够从上述资料中推出的是:
